Dokumenti

Na stranicama Minstarstva kulture i medija Republike Hrvatske mogu se pronaći svi zakoni kojima je reguliran rad Ivanine kuće bajke.

Na stranicama Ministarstva financija Porezne uprave nalaze se propisi kojima je regulirano financijsko poslovanje Ivanine kuće bajke.

 

I. Dokumenti

Statut:

 

Akt o osnivanju:

 

Ostali akti:

Pravilnik o unutarnjem ustrojstvu, organizaciji i sistematizaciji radnih mjesta + I. izmjene i dopune

Pravilnik o radu Centra za posjetitelje Ivanina kuća bajke + I. izmjene i dopune

Strateški plan

 

II. Program rada, financijski plan i izvješća, odluke

Program rada:

Program rada za 2017. godinu

Program rada za 2018. godinu

Program rada za 2019. godinu

Program rada za 2020. godinu

Program rada za 2021. godinu

Program rada za 2022. godinu

Program rada za 2023. godinu

Program rada za 2024. godinu

Program rada za 2025. godinu

Program rada za 2026. godinu

 

Financijski planovi:

Financijski plan za 2016.

Financijski plan za 2017.; Izmjene proračuna za 2017. godinu

Proračun za 2018. godinu

Proračun za 2019. godiinu

Financijski plan za 2020. godinuI. Izmjene Financijskog plana za 2020. godinu; Odluka o II. Izmjenama Financijskog plana za 2020. godinu

Financijski plan za 2021. godinuObrazloženje financijskog plana za 2021. godinu; I. izmjene financijskog plana za 2021. godinu; II. izmjene financijskog plana za 2021. godinu;

Financijski plan za 2022. godinu; I. izmjene i dopune financijskog plana za 2022. godinu; II. izmjene i dopune financijskog plana za 2022. godinu

Financijski plan za 2023. godinu; I. izmjene i dopune financijskog plana za 2023. godinu + Obrazloženje I. izmjena i dopuna financijskog plana za 2023. godinu + Odluka o usvajanjuII. izmjene i dopune financijskog plana za 2023. godinu + obrazloženje

Financijski plan za 2024. godinu; I. izmjene i dopune Financijskog plana za 2024. godinu; II. izmjene i dopune Financijskog plana za 2024. godinu; III. izmjene i dopune Financijskog plana za 2024. godinu

Financijski plan za 2025. godinuI. izmjene i dopune Financijskog plana za 2025. godinu; II. izmjene i dopune Financijskog plana za 2025. godinu

Financijski plan za 2026. godinu

 

Izvješća:

Izvješće o radu za 2015.

Izvješće o radu za 2016. godinu

Financijska izvješća za 2018. godinu; Bilješke (2018. godina)Izvješće o radu za 2018. godinu

Financijska Izvješća za 2017. godinu; Bilješke (2017. godina)

Financijska izvješća za 2019. godinuBilješke uz financijska izvješća 2019.Izvješće o radu za 2019. godinu

Financijsko izvješće za 2020. godinuBilješke uz financijsko izvješće za 2020. godinuIzvješće o radu i poslovanju za 2020. godinu

Financijsko izvješće za 2021. godinu + bilješke; Izvješće o radu i poslovanju za 2021. godinu

Financijsko izvješće za 2022. godinu + bilješke; Izvješće o radu i poslovanju za 2022. godinu

Polugodišnji izvještaj o izvršenju financijskog plana za 2023. godinu + Obrazloženje Polugodišnjeg izvještaja o izvršenju financijskog plana za 2023. godinu + Odluka o usvajanju;Financijsko izvješće za 2023. godinu + bilješke; Izvješće o radu i poslovanju za 2023. godinu; Godišnji izvještaj o izvršenju proračuna za 2023. godinu

Polugodišnji izvještaj o izvršenju financijskog plana za 2024. godinu; Financijsko izvješće za 2024. godinu (RKPFI + Bilješke) + Godišnji izvještaj o izvršenju financijskog plana za 2024. godinu; Izvješće o radu i poslovanju za 2024. godinu

Polugodišnji izvještaj o izvršenju financijskog plana za 2025. godinu; Financijsko izvješće za 2025. godinu; Izvješće o radu i poslovanju za 2025. godinu + Odluka Upravnog vijeća; Godišnji izvještaj o izvršenju proračuna za 2025. godinu

 

III. Javna nabava

Pravilnik o pravilima, uvjetima i postupcima jednostavne nabaveIzjava

Plan nabave za 2018. godinu; Registar ugovora 2018.

Plan nabave za 2019. godinu; Registar ugovora 2019.

Plan nabave 2020.; Registar ugovora 2020.

Plan nabave 2021. + Izmjene; Registar ugovora 2021. + Izmjene

Plan nabave 2022. + Izmjene; Registar ugovora 2022.

Plan nabave 2023.; Registar ugovora 2023. + I. izmjene i dopune

Plan nabave i Registar ugovora 2024. + I. izmjene i dopune

Plan nabave 2025.; Registar ugovora 2025.; I. izmjene i dopune

Plan nabave 2026.

 

IV. Informacije o trošenju sredstava:

Informacija o trošenju sredstava - siječanj 2024. godine

Informacija o trošenju sredstava - veljača 2024. godine

Informacija o trošenju sredstava - ožujak 2024. godine

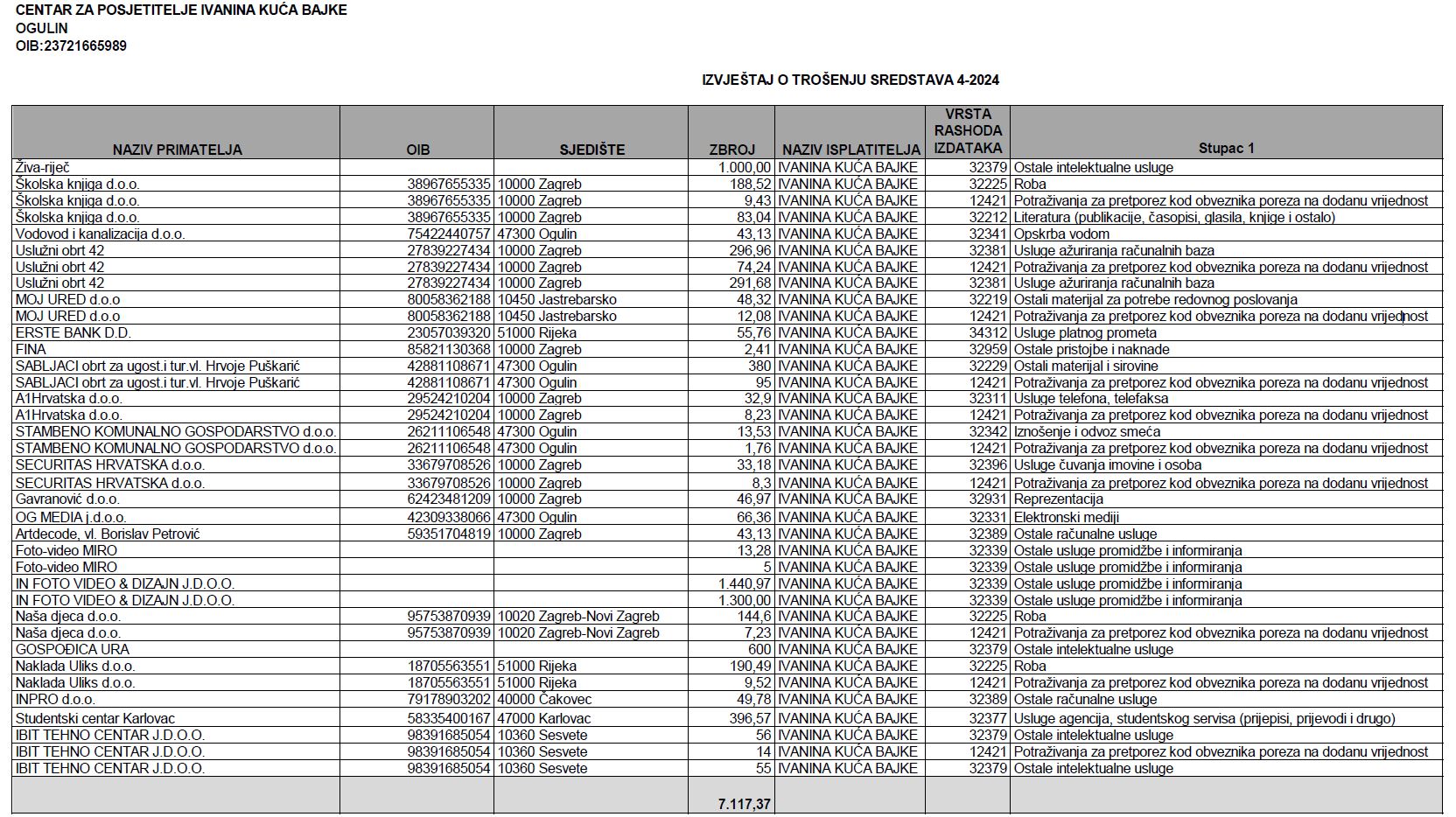
Informacija o trošenju sredstava - travanj 2024. godine

Infomacija o trošenju sredstava - svibanj 2024. godine

Infomacija o trošenju sredstava - lipanj 2024. godine

Informacija o trošenju sredstava - srpanj 2024. godine

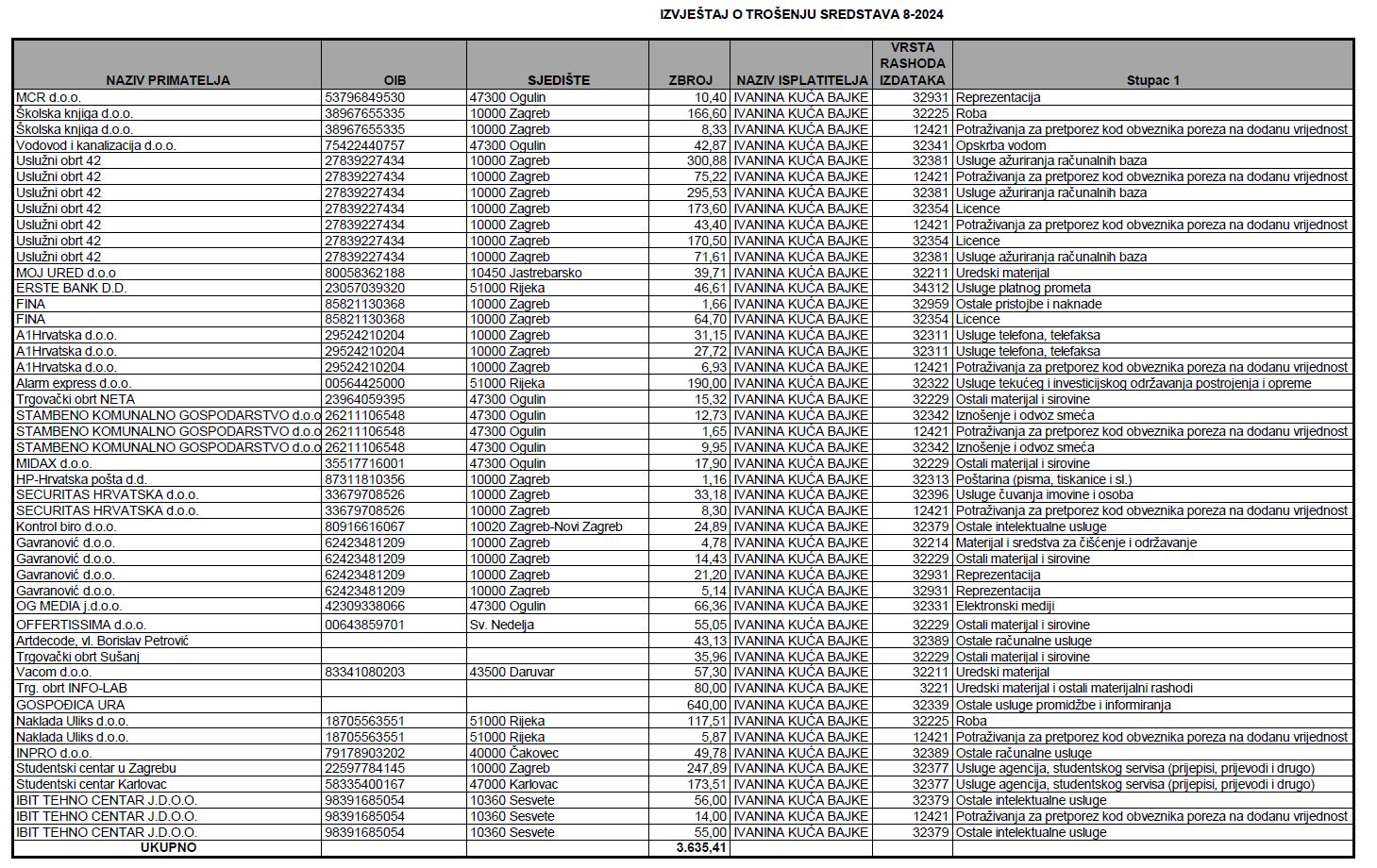
Informacija o trošenju sredstava - kolovoz 2024. godine

Informacija o trošenju sredstava - rujan 2024. godine

Informacija o trošenju sredstava - listopad 2024. godine

Informacija o trošenju sredstava - studeni 2024. godine

Informacija o trošenju sredstava - prosinac 2024. godine

Informacija o trošenju sredstava - siječanj 2025. godine

Informacija o trošenju sredstava - veljača 2025. godine

Informacija o trošenju sredstava - ožujak 2025. godine

Informacija o trošenju sredstava - travanj 2025. godine

Informacija o trošenju sredstava - svibanj 2025. godine

Informacija o trošenju sredstava - lipanj 2025. godine

Informacija o trošenju sredstava - srpanj 2025. godine

Informacija o trošenju sredstava - kolovoz 2025. godine

Informacija o trošenju sredstava - rujan 2025. godine

Informacija o trošenju sredstava - listopad 2025. godine

Informacija o trošenju sredstava - studeni 2025. godine

Informacija o trošenju sredstava - prosinac 2025. godine

Informacija o trošenju sredstava - siječanj 2026. godine

Informacija o trošenju sredstava - veljača 2026. godine

Informacija o trođenju sredstava - ožujak 2026. godine